A recent question touched on the case of fatband representation when spin-orbit coupling is included in the calculation (lspinorb = .true.). I assumed that this would be straightforward and indeed there is no problem up to the last step, where plotband.x should read the band energies and projections. It seems that in QE 6.5 the projection file is not properly read
Input file > bands.dat
Reading 30 bands at 401 k-points
file with projections not compatible with bands
Range: -5.6460 34.2420eV Emin, Emax >
However the projection file is correctly written as we can identify the (j,mj) blocks such as
1 1 Pb 5D 1 2 2.5 -2.5
To circumvent this incompatibility of plotband.x one can simply read the energy eigenvalues from the bands.x outfile and relative weight of the wave-function from the projection file, where every block looks something likes this:
9 1 Pb 5D 2 2 1.5 0.5
1 1 0.5475316611
1 2 0.2162196288
1 3 0.1468317944
1 4 0.0885236565
1 5 0.0000000000
1 6 0.0000000000
...
401 29 0.0000000000
401 30 0.0000000000
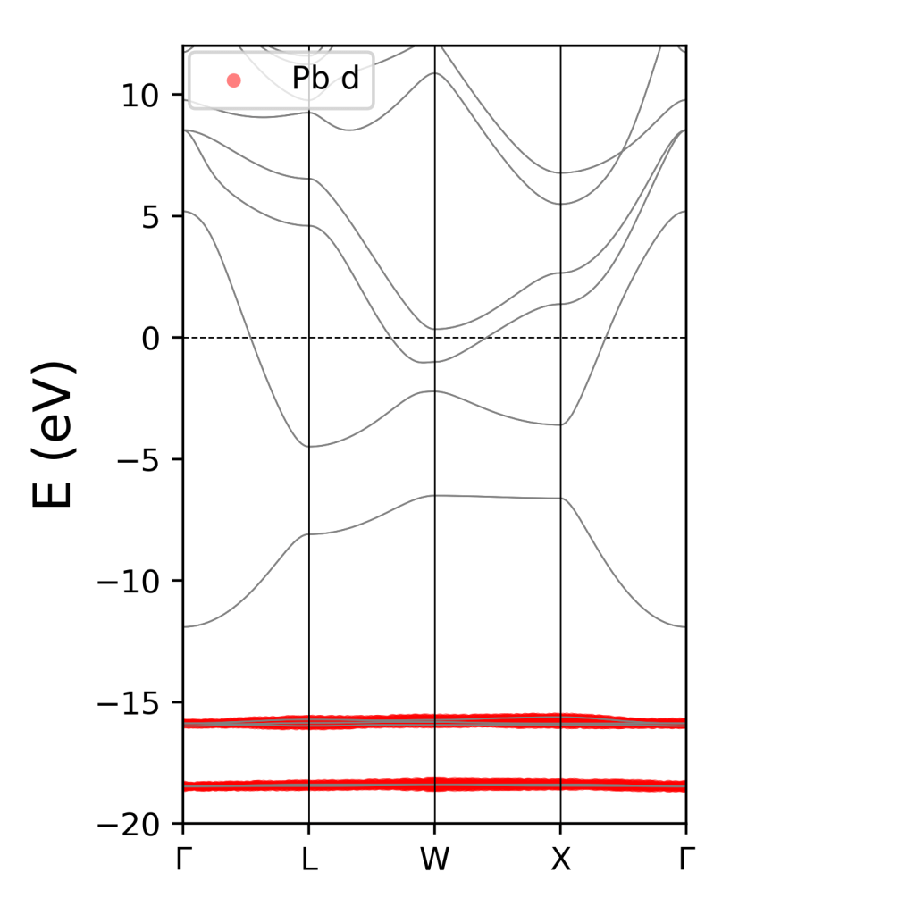
The first column is the k-point index, followed by the band and the weight for each mj state. If we want to plot the fatbands for all the d-states we have to identify the “block” number (i.e. the preceding 9 in the example above), collect all the d-states projections and plot them on top of the d-bands. I found a script in the usergroup and the origin seems to trace back to https://yyyu200.github.io/DFTbook/ but unfortunately I can’t read Chinese and cannot verify that information.

And there we have it: fatband representation for the d-bands of bulk lead with spin-orbit coupling.
A script that does all of this automatically is as always included, the pseudopotential used is the fully relativistic version of the ONCV pseudopotential which seems to be giving reliable results according to SSSP, however I did not converge the calculation as this seemed precise enough for a quick demonstration.
I hope that helps!
One response to “Fatbands with spin-orbit coupling”
Thanks for information Kehidupan Kampus
LikeLike