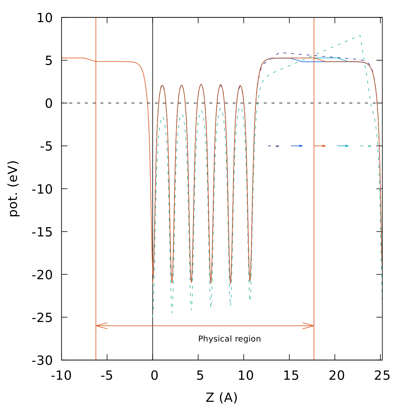
Using a slab-vacuum system and the dipole correction as previously described we aim to calculate the work-function (WF) of MgO. The experimental value for the WF of a low-index surface such as (200) is about 5 eV according to Choi et al.

By constructing a 6 layer MgO slab padded by 6 layers of vacuum we create an artificial surface that is infinitely repeated by periodic boundary conditions. The dipole correction is applied by setting tefield and dipfield to true. We know that the position of the dipole is critical as the discontinuity has to fall into the vacuum region. By moving the dipole across the vacuum region it can be shown that if the dipole is too close to the slab the dipole correction will fail.

If placed correctly the electrostatic potential will be flat in the vacuum region. Two failing cases are also shown by dashed lines. The slab is repeated to the negative region to emphasize the region in which the dipole correction is physical which extends from emaxpos+eopreg-1 (in units of entire cell extending from [0-1]). The difference between vacuum level (here set to 0) and the flat region of the electrostatic potential is about 5 eV which is in acceptable agreement with experiment. Find the script to run this job here.
4 responses to “Work function calculation of MgO in QE 6.2.1”
Hi Christoph,
What is the format for the average.in data, what does each line indicate in your average.in file?
pot.dat is potential data obtained from plot_num =11 , what are others. Thank you!
______________
1
pot.dat
1.0
300
3
3.00000
__________________
LikeLike
Hi Suman,
Sorry for the late reply – the average.in file has the following columns:
1 # number of files to read
pot.dat # read this file
1.0 # weight of this file
3000 # number of points
3 # direction to define the planar average (xyz)
3.00000 # size of the window for macroscopic average
Details can also be found in average.f90
LikeLike
Where are you getting the pot.dat file from? I don’t see it in your Zip file, and I don’t see it on the QE user guide either!
LikeLike
Hello, Christoph, can you suggest me that how to choose correct awin (size of the window for macroscopic average) value
LikeLike